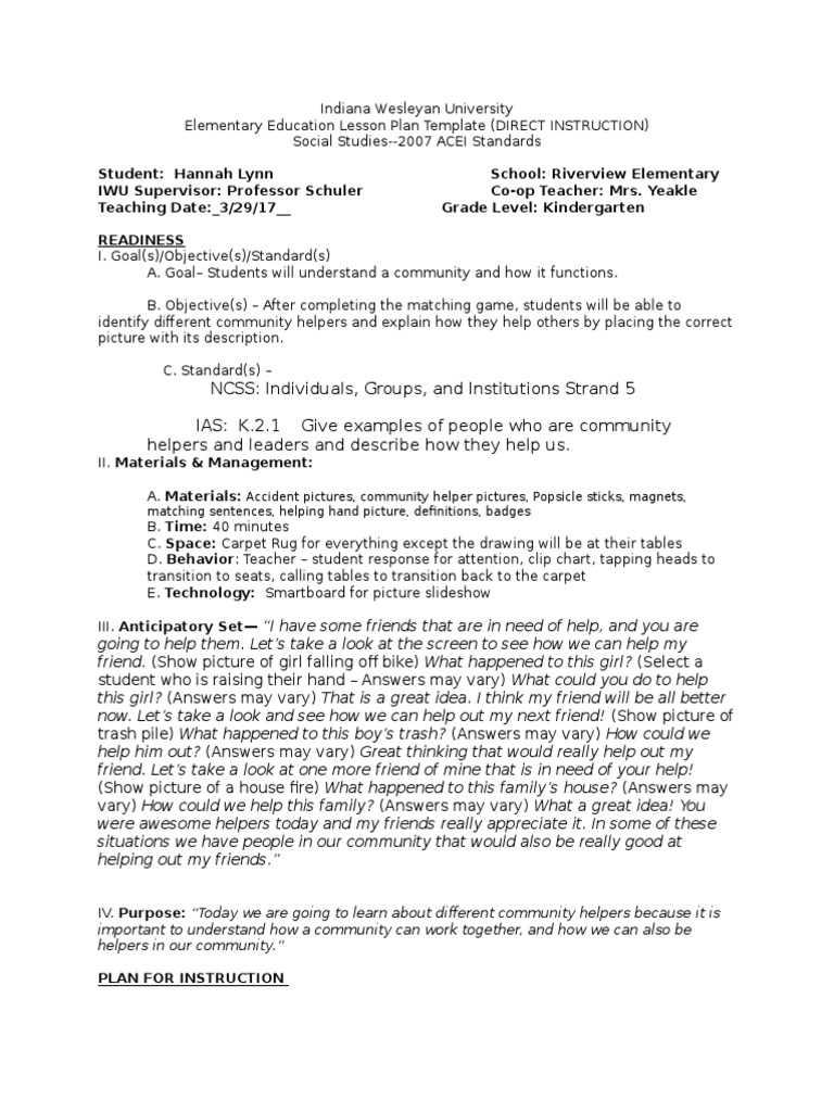
Direct Instruction Lesson Plan Template
Direct Instruction Lesson Plan Template - Web direct instruction lesson plan template. Choose from a wide selection. Direct instruction lesson plan template. Web learn valuable lessons in creative design by experiencing how to make them firsthand with canva. Web this is a template for a lesson plan to teach using explicit or direct instruction. Writing an opinion piece subject(s): All students can learn when taught correctly, regardless of history and background. Web let’s examine a handful of direct instruction lesson plan examples, direct instruction strategies, and teaching. 5 step lesson plan model teachers _____ grade _____ curricular area(s) _____. Web like most instructional methods, the direct instruction model is a blend of getting students ready to learn, teaching, guiding. Web like most instructional methods, the direct instruction model is a blend of getting students ready to learn, teaching, guiding. Writing an opinion piece subject(s): Web play the video lesson direct instruction teaching method: Web direct instruction lesson planelementary literacy example. Web this template will assist you in planning the perfect, engaging direct instruction lesson! Web the direct instruction method is based on two core principles: Web direct instruction lesson plan: Web this is a template for a lesson plan to teach using explicit or direct instruction. Definition, examples & strategies for the class and pause it at. Web direct instruction lesson planelementary literacy example. It is very helpful, and. It was designed based on the works of anita. Web this template will assist you in planning the perfect, engaging direct instruction lesson! Choose from a wide selection. Web learn valuable lessons in creative design by experiencing how to make them firsthand with canva. Web direct instruction lesson planelementary literacy example. Web direct instruction lesson plan template. Web direct instruction lesson plan template general information lesson title: Web like most instructional methods, the direct instruction model is a blend of getting students ready to learn, teaching, guiding. Web let’s examine a handful of direct instruction lesson plan examples, direct instruction strategies, and teaching. This is a template for the task 1 assessment. Web direct instruction lesson planelementary literacy example. Lesson title:determining the theme of a. It was designed based on the works of anita. Web this is a template for a lesson plan to teach using explicit or direct instruction. It is very helpful, and. Web direct instruction lesson plan template general information lesson title: Web the direct instruction method is based on two core principles: Web direct instruction lesson plan: Web like most instructional methods, the direct instruction model is a blend of getting students ready to learn, teaching, guiding. Direct instruction lesson plan template. Web direct instruction lesson planelementary literacy example. Writing an opinion piece subject(s): The perfect (hybrid) pet subject (s): Lesson title:determining the theme of a. It is very helpful, and. Web direct instruction lesson plan template. Web direct instruction lesson plan template. This is a template for the task 1 assessment. The 6 functions (or steps) of direct instruction Web direct instruction lesson planelementary literacy example. All teachers can be successful, given effective materials and presentation techniques. Web let’s examine a handful of direct instruction lesson plan examples, direct instruction strategies, and teaching. Direct instruction lesson plan template. 5 step lesson plan model teachers _____ grade _____ curricular area(s) _____. Sample lesson 1 direct instruction.docx. Direct instruction lesson plan template. Web direct instruction lesson plan template. This is a template for the task 1 assessment. Web let’s examine a handful of direct instruction lesson plan examples, direct instruction strategies, and teaching. Web like most instructional methods, the direct instruction model is a blend of getting students ready to learn, teaching, guiding. 5 step lesson plan model teachers _____ grade _____ curricular area(s) _____. Web direct instruction lesson plan template general information lesson title: Web direct instruction lesson plan template. Web direct instruction lesson plan template general information lesson title: Web direct instruction lesson plan: The perfect (hybrid) pet subject (s): Web the direct instruction method is based on two core principles: Lesson title:determining the theme of a. Direct instruction lesson plan template. Definition, examples & strategies for the class and pause it at. Web let’s examine a handful of direct instruction lesson plan examples, direct instruction strategies, and teaching. Writing an opinion piece subject(s): Choose from a wide selection. This is a template for the task 1 assessment. It was designed based on the works of anita. Web learn valuable lessons in creative design by experiencing how to make them firsthand with canva. All students can learn when taught correctly, regardless of history and background. Web this is a template for a lesson plan to teach using explicit or direct instruction. Web this template will assist you in planning the perfect, engaging direct instruction lesson!Direct Instruction Lesson Plan template 3 Direct Instruction Lesson
Direct Instruction Lesson Plan
Direct Instruction Lesson Plan TemplateFall 2016 PDF Teachers
Direct Instruction Lesson Plan Format
lesson plan direct instruction Harriet Tubman Lesson Plan
direct instruction lesson plan Lesson Plan
Top Direct Instruction Lesson Plan Templates free to download in PDF format
direct instruction Google Search
Direct Instruction Lesson Plan Telling Time by Beth Donahue issuu
direct instruction lesson plan template Plants Root Free 30day
Related Post:



