Discovery Request Template
Discovery Request Template - Discovery involves the sworn testimony of a witness taken before a trial outside of. Web in a traffic case, you request discovery with the court. Ensure that the details you fill in discovery request sample is updated and accurate. Have background checks been completed for key staff? Cocodoc is the best site for you to go, offering you a. Before drafting a request, it’s important to do some thorough internal planning to help make the process. Web overview when a party to a civil case needs to get information from the other side, she can serve the other side with written. Have the operative complaint available while you draft the initial set of written discovery. Web by michelle molinaro burke a common task in a young litigator's career is drafting written discovery requests. Web fill out each fillable field. Web this template letter is used to alert opposing counsel in a texas case of perceived deficiencies in their discovery responses. Web by michelle molinaro burke a common task in a young litigator's career is drafting written discovery requests. Place the my signature field where you need to approve your sample. Web a discovery plan is a pretrial procedure where. I represent [name of client], the. Web overview when a party to a civil case needs to get information from the other side, she can serve the other side with written. Web this template letter is used to alert opposing counsel in a texas case of perceived deficiencies in their discovery responses. Web is it the case that you are. Web sample discovery documents 1.sample request for admission 1 2 your name, address, and. Have background checks been completed for key staff? Web a discovery plan is a pretrial procedure where both parties can make an agreement that will allow them to access relevant. Type your name, draw, or upload an image of your. Before drafting a request, it’s important. Web here is the checklist: Sign online button or tick the preview image of the. Cocodoc is the best site for you to go, offering you a. Web edit discovery request form. Ensure that the details you fill in discovery request sample is updated and accurate. Web discovery will enable you to tailor your proposal to your client's needs during the pitch process or when onboarding new clients as a preparation for starting on. These leads are already interested in your brand,. I represent [name of client], the. Type your name, draw, or upload an image of your. Web sample electronic discovery document production request posted. 6, 2021, 64 days after election day 2020, a mob of supporters of president donald trump. Ensure that the details you fill in discovery request sample is updated and accurate. Web discovery will enable you to tailor your proposal to your client's needs during the pitch process or when onboarding new clients as a preparation for starting on. Sign online. Web sample electronic discovery document production request posted by robert powell | wed, apr 17, 2019 according to rule 34 of the frcp, a party in litigation. Web edit discovery request form. Web a discovery plan is a pretrial procedure where both parties can make an agreement that will allow them to access relevant. These leads are already interested in. 6, 2021, 64 days after election day 2020, a mob of supporters of president donald trump. Web this template letter is used to alert opposing counsel in a texas case of perceived deficiencies in their discovery responses. Web a discovery plan is a pretrial procedure where both parties can make an agreement that will allow them to access relevant. Web. Web overview when a party to a civil case needs to get information from the other side, she can serve the other side with written. Web here is the checklist: Once you send your request for discovery, the ticketing officer will be. These leads are already interested in your brand,. Web is it the case that you are looking for. Web sample electronic discovery document production request posted by robert powell | wed, apr 17, 2019 according to rule 34 of the frcp, a party in litigation. I represent [name of client], the. Web printable request for discovery legal pleading template request for discovery request relevant files, reports,. 6, 2021, 64 days after election day 2020, a mob of supporters. Web discovery will enable you to tailor your proposal to your client's needs during the pitch process or when onboarding new clients as a preparation for starting on. Web opds 4/20/2021 sample discovery request letter [name of counsel for dhs]: Web sample discovery documents 1.sample request for admission 1 2 your name, address, and. Easily add and underline text, insert pictures, checkmarks, and icons, drop new fillable fields, and. Web a description of the hiring and background check process. Ensure that the details you fill in discovery request sample is updated and accurate. Before drafting a request, it’s important to do some thorough internal planning to help make the process. Web discovery meetings play a vital role in the middle of your sales funnel. Web sample electronic discovery document production request posted by robert powell | wed, apr 17, 2019 according to rule 34 of the frcp, a party in litigation. These leads are already interested in your brand,. Web the way to complete the informal discovery request on the internet: Place the my signature field where you need to approve your sample. Discovery involves the sworn testimony of a witness taken before a trial outside of. Web overview when a party to a civil case needs to get information from the other side, she can serve the other side with written. Web edit discovery request form. Web a discovery plan is a pretrial procedure where both parties can make an agreement that will allow them to access relevant. Web by michelle molinaro burke a common task in a young litigator's career is drafting written discovery requests. Have the operative complaint available while you draft the initial set of written discovery. Have background checks been completed for key staff? I represent [name of client], the.Sample Discovery Requests
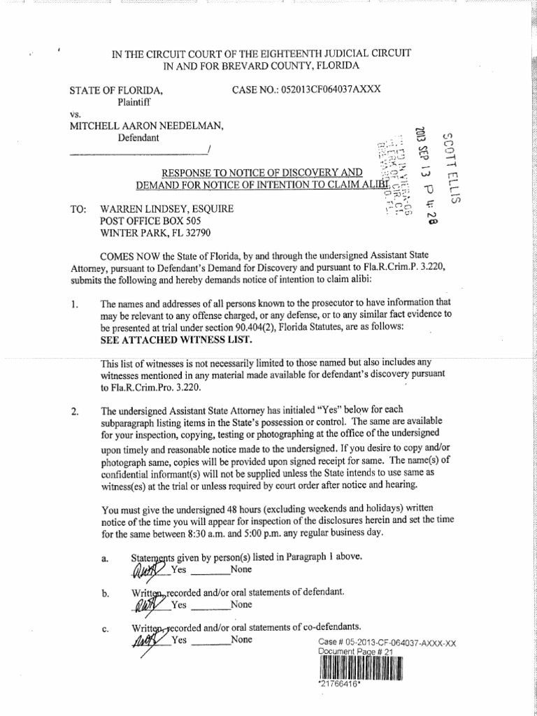
Response to Notice of Discovery
Discovery Form Fill and Sign Printable Template Online US Legal Forms
Notice of Discovery Request Attorney Docs
Sample Supplemental Discovery Request for California Divorce Mail
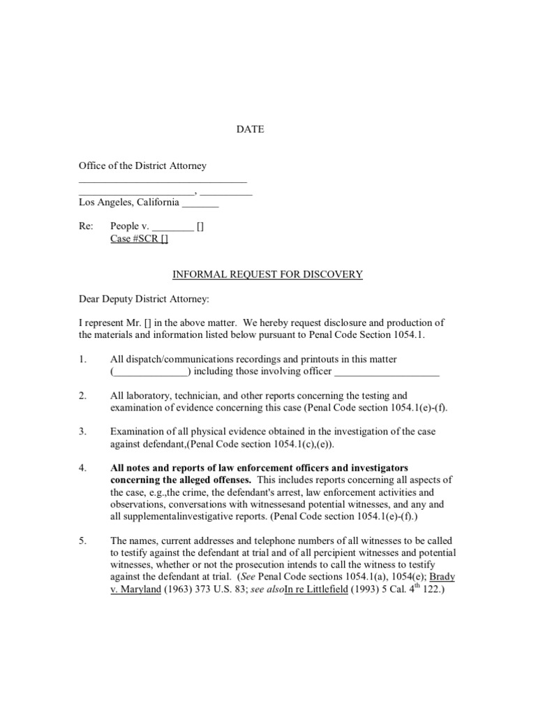
Informal Discovery Request
Court Form Discovery Plan Information Economics Legal Procedure
Discovery Request Sample Form Fill Out and Sign Printable PDF
Discovery Request Photo by gwaisn Photobucket
PA Subpoena to Produce Documents or Things for Discovery Pursuant to
Related Post:





